Leetcode141. 环形链表

Leetcode141. 环形链表
赵海波给你一个链表的头节点 head ,判断链表中是否有环。
如果链表中有某个节点,可以通过连续跟踪 next 指针再次到达,则链表中存在环。 为了表示给定链表中的环,评测系统内部使用整数 pos 来表示链表尾连接到链表中的位置(索引从 0 开始)。注意:pos 不作为参数进行传递 。仅仅是为了标识链表的实际情况。
如果链表中存在环 ,则返回 true 。 否则,返回 false 。
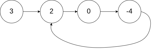
示例 1:
1 | 输入:head = [3,2,0,-4], pos = 1 |
示例 2:
1 | 输入:head = [1,2], pos = 0 |
示例 3:
1 | 输入:head = [1], pos = -1 |
提示:
- 链表中节点的数目范围是
[0, 104] -105 <= Node.val <= 105pos为-1或者链表中的一个 有效索引 。
进阶:你能用 O(1)(即,常量)内存解决此问题吗?
评论
匿名评论隐私政策






